研究进展

    研究进展

    当前您的位置: 首页 > 研究进展 > 正文

    2024年学术进展系列之35:基于IXPE等的观测再论耀变体喷射流内激波辐射的偏振

    日期: 2024-06-07 浏览次数:

    近日,公司天体物理林达斌团队在考虑内激波辐射区磁场的各向异性的情况下,基于X射线偏振探测器(IXPE)等偏振探测器的观测结果讨论磁场的各向异性强度的研究论文在The Astrophysical Journal杂志发表。

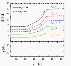
    最近成像X射线偏振探测器(IXPE)对耀变体的观测倾向于支持激波模型X射线辐射,但其观测到的在X射线波段低偏振度(Π ~ 10%)的结果与先前的激波模型理论预期不符。为了使理论预期与观测结果相一致,我们通过考虑激波产生磁场(sgMFs)的各向异性分布,重新研究了内激波辐射情景下的偏振属性。我们引入各向异性权重因子ωsg sinθζ sg 来描述sgMFs的各向异性,得到了不同各向异性指数ζ sg下的偏振结果(如图1最后基于X射线的偏振观测结果估计出sgMFs的各项异性指数ζ sg ~1- 1.5(如图2,其中,内激波图景下X射线辐射主要来自激波面附近。除了sgMFs外,由Richhtmyer - Meshkov不稳定性(RMI)形成的较大尺度的径向主导的磁场(rmMFs)被认为很可能存在于耀变体喷流中,因此我们还对rmMFs存在的情况进行了讨论,并同样引入各向异性权重因子ωrm cosθζ rm 描述其更多沿着径向分布的各向异性。我们发现rmMFs很有可能会显著影响低能段的偏振属性(特别在sgMFs衰减速度较快),而对高能段(X射线波段)影响不大如图3

     

    1:激波产生磁场(sgMFs)在不同各向异性指数ζ sg下的偏振结果,上面板是偏振度,下面板是偏振角。


    2:激波产生磁场(sgMFs)在不同各向异性指数ζ sg下的X射线和射电波段的偏振度

     

    3:Richhtmyer - Meshkov不稳定性产生的磁场(rmMFs)在不同各向异性指数ζ rm下的偏振结果。其中上面板是偏振度,下面板是偏振角。

     

    []该工作得到了国家自然科学基金(基金1227300512133003)广西自然科学基金(基金号2018GXNSFFA281010)CSST对重要突发天体事件的响应研究(CMS-CSST-2021-B11)的支持。


    论文标题:Revisiting the Polarization of the Emission of the Internal Shock in the Jet of Blazars

    论文作者:张豪强(硕)、刘宽(博)林达斌(通讯作者)、梁恩维

    Article DOI: 10.3847/1538-4357/ad26f6

     

    联系地址:广西区南宁市大学东路100号

    联系电话:0771-3237386

    邮 编 :530004

    关注我们

    版权所有:suncitygroup太阳新城(中国)集团官方网站